慶元縣教育局2022年度部門決算
目 ?錄
一、概況.
(一)部門職責
(二)機構設置
二、2022年度部門決算公開表
(一)收入支出決算總表
(二)收入決算表(分單位)
(三)收入決算表(分科目)
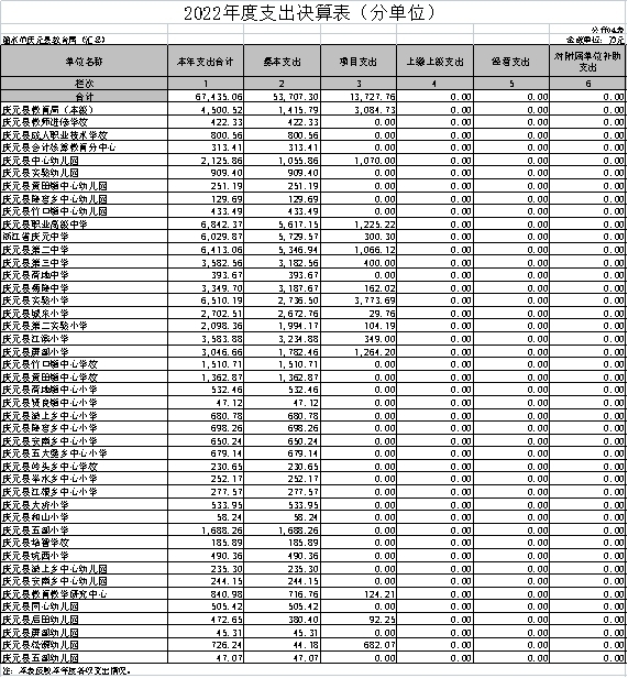
(四)支出決算表(分單位)
(五)支出決算表(分科目)
(六)財政撥款收入支出決算總表
(七)一般公共預算財政撥款支出決算表
(八)一般公共預算財政撥款基本支出決算表
(九)政府性基金預算財政撥款收入支出決算表
(十)國有資本經營預算財政撥款支出決算表
(十一)財政撥款“三公”經費支出決算表
三、2022年度部門決算情況說明
(一)收入支出決算總體情況說明
(二)收入決算情況說明
(三)支出決算情況說明
(四)財政撥款收入支出決算總體情況說明
(五)一般公共預算財政撥款支出決算情況說明
(六)一般公共預算財政撥款基本支出決算情況說明
(七)政府性基金預算財政撥款支出決算總體情況說明
(八)國有資本經營預算財政撥款支出決算總體情況說明
(九)財政撥款“三公”經費支出決算情況說明
(十)機關運行經費支出說明
(十一)政府采購支出說明
(十二)國有資產占有使用情況說明
(十三)預算績效情況說明
四、名詞解釋
五、附件
一、概況
(一)部門職責
1. 1. 貫徹執行黨和國家的教育方針、政策和法律、法規,組織起草規范性文件,推進教育系統法制建設。
2.負責全縣教育的統籌規劃,承擔教育改革與發展重大問題調研、政策研究,擬訂全縣教育改革和發展政策并組織實施,負責全縣教育基本信息的統計、分析和發布。
3. 指導、督促和檢查全縣學校黨的政治建設、思想建設、組織建設等工作以及全縣教育系統履行全面從嚴治黨主體責任。
4. 指導全縣中小學(含幼兒園,下同)安全穩定工作,負責教育系統安全監督,督促全縣教育系統相關主體落實安全生產責任,組織或配合查處學校安全穩定管理方面的失職或違法行為。
5.統籌管理全縣教育經費,參與擬訂教育經費籌措、教育撥款、教育基建投資的政策并監督使用情況,指導教育系統內部審計工作。
6.負責推進基礎教育高質量均衡發展,促進教育公平。指導全縣中小學思想政治、德育、體育、衛生健康與藝術教育、勞動教育,制定基礎教育教學基本要求和教學基本文件,全面實施素質教育。負責全縣中小學校學籍學歷管理工作。
7.統籌管理和指導職業教育、成人教育、社區教育、國防教育,牽頭制定職業教育教學基本要求、教學基本文件,指導職業學校教育教學改革、職業指導和評估工作。統籌規劃、協調管理民辦教育。
8.統籌規劃并指導全縣中小學教師隊伍建設和師德師風建設。組織指導實施教師資格制度,參與學校編制、崗位、工資等政策制定。指導全縣教育人才、教師培訓工作,指導全縣中小學國際合作與交流工作,開展與港澳臺的教育合作與交流。
9.負責全縣語言文字工作,指導語言文字規范化建設。
10.指導全縣教育督導工作,依法組織實施教育督導評估、檢查驗收、質量監測等工作。
11.完成縣委、縣政府交辦的其他任務。
(二)機構設置
(從預算單位構成看,麗水市慶元縣教育局(匯總)部門決算包括:局本級決算、局屬事業單位決算、下屬中小學幼兒園決算。
納入麗水市慶元縣教育局(匯總)2022年度部門決算編制范圍的二級預算單位包括:慶元縣教育教學研究中心、慶元縣教師進修學校、慶元縣成人職業技術學校、慶元縣會計核算教育分中心、慶元中學等10所中學、中職學校1所、慶元縣實驗小學等17所小學、慶元縣中心幼兒園等13所幼兒園。
二、2022年度部門決算公開表
三、2022年度部門決算情況說明
(一)收入支出決算總體情況說明
2022年度收入總計68,292.66萬元,支出總計68,292.66萬元,與2021年度相比,各增加903.9萬元,增長1.34%。主要原因是:我縣創建國家級“雙普”項目等資金投入增加。
(二)收入決算情況說明
本年收入合計67,484.76萬元;包括財政撥款收入57,828.7萬元(其中,一般公共預算57,828.7萬元,政府性基金預算0萬元,國有資本經營預算0萬元),占收入合計85.69%;上級補助收入0萬元,占收入合計0%;事業收入719.15萬元,占收入合計1.07%;經營收入0萬元,占收入合計0%;附屬單位上繳收入0萬元,占收入合計0%;其他收入8,936.91萬元,占收入合計13.24%。
(三)支出決算情況說明
本年支出合計67,435.06萬元,其中基本支出53,707.3萬元,占79.64%;項目支出13,727.76萬元,占20.36%;上繳上級支出0萬元,占0%;經營支出0萬元,占0%;對附屬單位補助支出0萬元,占0%。
(四)財政撥款收入支出決算總體情況說明
2022年度財政撥款收入總計57,858.7萬元,支出總計57,858.7萬元,與2021年相比,各減少3386.46萬元,下降5.53%。主要原因是下屬中小學(幼兒園)把部分財政補助收入專項經費列入其它教育經費收入;財政撥款支出年初預算數54999.44萬元,完成年初預算的105.2%,主要原因是我縣創建國家級“雙普”項目等資金投入增加。
(五)一般公共預算財政撥款支出決算情況說明
1.一般公共預算財政撥款支出決算總體情況。
2022年度一般公共預算財政撥款支出57,858.7萬元,占本年支出合計的85.8%。與2021年相比,一般公共預算財政撥款支出減少2019.47萬元,下降3.37%。主要原因是:是下屬中小學(幼兒園)把部分財政補助收入專項經費列入其它教育經費收入。
2.一般公共預算財政撥款支出決算結構情況。
2022年度一般公共預算財政撥款支出57,858.7萬元,主要用于以下方面:一般公共服務(類)支出4.1萬元,占0.01%;國防(類)支出0萬元,占0%;公共安全(類)支出0萬元,占0%;教育(類)支出57,596.37萬元,占99.55%;科學技術(類)支出0萬元,占0%;文化旅游體育與傳媒(類)支出0萬元,占0%;社會保障和就業(類)支出0萬元,占0%;衛生健康(類)支出0萬元,占0%;節能環保(類)支出0萬元,占0%;城鄉社區(類)支出0萬元,占0%;農林水(類)支出0萬元,占0%;交通運輸(類)支出0萬元,占0%;資源勘探工業信息等(類)支出0萬元,占0%;商業服務業等(類)支出0萬元,占0%;金融(類)支出0萬元,占0%;援助其他地區(類)支出0萬元,占0%;自然資源海洋氣象等(類)支出0萬元,占0%;住房保障(類)支出258.22萬元,占0.45%;糧油物資儲備(類)支出0萬元,占0%;災害防治及應急管理(類)支出0萬元,占0%;其他(類)支出0萬元,占0%;債務還本(類)支出0萬元,占0%;債務付息(類)支出0萬元,占0%。
3.一般公共預算財政撥款支出決算具體情況。
2022年度一般公共預算財政撥款支出年初預算為54999.54萬元,支出決算為57,858.7萬元,完成年初預算的105.2%,主要原因是我縣創建國家級“雙普”項目等資金投入增加。其中:
一般公共服務支出(類)其他一般公開服務支出(款)其他一般公開服務支出(項)。年初預算為0萬元,支出決算為4.1萬元,完成年初預算的0%,決算數大于預算數的主要原因是2021年爭取資金獎勵業務費。
教育支出(類)教育管理事務(款)行政運行(項)。2022年年初預算為1188.23萬元,2022年支出決算為1272.88萬元,完成年初預算的107.12 %,決算數大于預算數的主要原因工資調整。
教育支出(類)普通教育(款)學前教育(項)事務2022年年初預算為3927.39萬元,2022年支出決算為4307.63萬元,完成年初預算的109.68%,決算數大于預算數的主要原因是我縣創建國家級“雙普”項目資金投入增加。
教育支出(類)普通教育(款)小學教育(項)事務2022年年初預算為19841.99萬元,2022年支出決算為20552.6萬元,完成年初預算的103.58%,決算數大于預算數的主要原因是民辦學校民轉公購買學位等專項資金。
教育支出(類)普通教育(款)初中教育(項)事務2022年年初預算為9971.8萬元,2022年支出決算為10851.77萬元,完成年初預算的108.82%,決算數大于預算數的主要原因是人員經費調整。
教育支出(類)普通教育(款)高中教育(項)。年初預算為4752.51萬元,支出決算為5842.66萬元,完成年初預算的122.94%,決算數大于預算數的主要原因“縣中掘起”等項目投入增加。
教育支出(類)普通教育(款)其他普通教育支出2022年年初預算為6823.93萬元,2022年支出決算為6140.61萬元,完成年初預算的89.99%,決算數小于預算數的主要原因中小學項目經費減少。
教育支出(類)職業教育(款)中等職業教育(項)。年初預算為5303.95萬元,支出決算為5674.42萬元,完成年初預算的100%,決算數大于預算數的主要原因為省補學生資助補助經費(中職免學費-標準化考點建設)、省補現代職業教育質量提升計劃資金、省補教室燈光改造工程等項目追加及調整。
教育支出(類)特殊教育(款)特殊學校教育(項)。年初預算為151.34萬元,支出決算為148.91萬元,完成年初預算的98.39%,決算數小于預算數的主要原因培智學校環境改造項目已完成。
教育支出(類)進修及培訓(款)教師進修(項)。年初預算為342.41萬元,支出決算為364.68萬元,完成年初預算的106.45%,決算數大于預算數的主要原因教師進修學校2022年有獎金的調整增加了人員經費等支出使用了上年結余。
教育支出(類)教育費附加安排的支出(款)其他教育費附加安排的支出(項)事務2022年年初預算為802.6萬元,2022年支出決算為794.49萬元,完成年初預算的98.99%,決算數小于預算數的主要原因是用教育附加安排校舍維修的經費減少。
住房保障支出(類)住房改革支出(款)住房公積金(項)事務2022年年初預算為255.09萬元,2022年支出決算為258.22萬元,完成年初預算的101.23%,決算數大于預算數的主要原因是2022年公積金基數調整,公積金基數提高。
(六)一般公共預算財政撥款基本支出決算情況說明
2022年度一般公共預算財政撥款基本支出50,339.78萬元,其中:
人員經費45,409.85萬元,主要包括:基本工資、津貼補貼、獎金、績效工資、機關事業單位基本養老保險繳費、職業年金繳費、住房公積金、生活補助、助學金等。
公用經費4,929.94萬元,主要包括:辦公費、印刷費、水電費、郵電費、差旅費、維護費、會議費、培訓費、勞務費、福利費、辦公設備購置等。
(七)政府性基金預算財政撥款支出決算總體情況說明
本部門2022年度無政府性基金預算財政撥款收支安排,故無相關數據。
(八)國有資本經營預算財政撥款支出決算總體情況說明
本部門2022年度無國有資本經營預算財政撥款收支安排,故無相關數據。
(九)財政撥款“三公”經費支出決算情況說明
1.“三公”經費財政撥款支出決算總體情況說明。
2022年度“三公”經費財政撥款支出全年預算為19.4萬元,支出決算為12.25萬元,完成全年預算的63.14%,2022年度“三公”經費支出決算數小于全年預算數的主要原因是教育局機關及下屬學校嚴格執行中央八項規定厲行節約。
2.“三公”經費財政撥款支出決算具體情況說明。
2022年度“三公”經費財政撥款支出決算中,因公出國(境)費用支出決算為0萬元,占0%,與2021年度相比,增加0萬元,增長0%,主要原因是教育局機關及下屬學校無出國人員;公務用車購置及運行維護費支出決算為0萬元,占0%,與2021年度相比,增加0萬元,增長0%,主要原因是本單位無公務用車;公務接待費支出決算為12.25萬元,占100%,與2021年度相比,減少4.62萬元,下降27.39%,主要原因是教育局機關及下屬學校嚴格執行中央八項規定厲行節約。具體情況如下:
(1)因公出國(境)費用全年預算數為0萬元,支出決算為0萬元。完成全年預算的0%。主要用于機關及下屬預算單位人員的公務出國(境)的住宿費、國際旅費、培訓費、公雜費等支出。決算數等于全年預算數的主要原因是教育局機關及下屬學校無出國人員。全年使用財政撥款支出涉及因公出國(境)團組0個;累計0人次。開支內容包括:無。
(2)公務用車購置及運行維護費全年預算數為0萬元,支出決算為0萬元,完成全年預算的0%。決算數等于全年預算數的主要原因是本單位無公務用車。
公務用車購置全年預算數為0萬元,支出決算為0萬元(含購置稅等附加費用),完成全年預算的0%。決算數等于全年預算數的主要原因是本單位無公務用車。主要用于經批準購置的0輛公務用車;
公務用車運行維護費全年預算數為0萬元,支出決算為0萬元,完成全年預算的0%。決算數等于全年預算數的主要原因是本單位無公務用車。主要用于所需的公務用車燃料費、維修費、過路過橋費、保險費等支出;截至2022年12月31日,財政撥款開支的公務用車保有量為0輛。
(3)公務接待費全年預算數為19.4萬元,支出決算為12.25萬元,完成全年預算的63.14%。國內公務接待118批次,累計1,247人次。主要用于接待上級部門,兄弟縣市來指導、調研等支出。決算數小于全年預算數的主要原因是教育局機關及下屬學校嚴格執行中央八項規定厲行節約。其中:
外事接待支出0萬元,主要用于外事公務接待,接待0批次,累計0人次。
其他國內公務接待支出12.25萬元,主要用于上級部門,兄弟縣市來指導、調研等接待118批次,累計1,247人次。
(十)機關運行經費支出說明
2022年度機關運行經費年初預算數為89.13萬元,支出決算為231.33萬元,完成年初預算的259.54%,決算數大于預算數的主要原因全縣學前“雙普”等教育創建項目在此項目中支付;比2021年度增加58.07萬元,增長33.52%,主要原因是2022年學前“雙普”等教育創建項目資金增加。
(十一)政府采購支出說明
2022年度政府采購支出總額2,556.8萬元,其中:政府采購貨物支出1,923.78萬元、政府采購工程支出568.17萬元、政府采購服務支出64.86萬元。授予中小企業合同金額1,988.24萬元,占政府采購支出總額的77.76%。其中,授予小微企業合同金額1,917.74萬元,占授予中小企業合同金額的96.45%;貨物采購授予中小企業合同金額占貨物支出金額的75.24%,工程采購授予中小企業合同金額占工程支出金額的22.22%,服務采購授予中小企業合同金額占服務支出金額的2.54%。
(十二)國有資產占有使用情況說明
截至2022年12月31日,教育局本級及所屬各單位共有車輛0輛,其中,副部(省)級及以上領導用車0輛、主要領導干部用車0輛、機要通信用車0輛、應急保障用車0輛、執法執勤用車0輛、特種專業技術用車0輛、離退休干部用車0輛、其他用車0輛,無其他用車;單價100萬元以上設備(不含車輛)0臺(套)。
(十三)預算績效情況說明
1.預算績效管理工作開展情況。
根據預算績效管理要求,教育局組織對2022年度一般公共預算項目支出全面開展績效自評,其中,一級項目0個,二級項目5個,共涉及資金8045.40753萬元,占一般公共預算項目支出總額的100%。本年無政府性基金預算項目。本年無國有資本經營預算項目。
組織對“教育現代化創建專項經費”“ 義務教育保障機制”等5個項目開展了部門評價,涉及一般公共預算支出8045.40753萬元,政府性基金預算支出0萬元。其中,對“義務教育民辦學校發展專項資金”“義務教育保障機制”等項目委托“慶元濛洲稅務師事務所”第三方機構開展績效評價。從評價情況來看,各個項目均達到優秀水平。
本年無下屬部門或單位整體支出績效評價。
2.單位決算中項目績效自評結果
教育局隨決算公開2022年度本單位項目支出績效自評結果(詳見附件)。其中“教育現代化縣創建專項經費”及“義務教育保障機制”項目績效自評具體情況如下:
教育現代化縣創建專項經費項目績效自評綜述:根據年初設定的績效目標,項目自評得分94.4分,自評結論為“優”。項目全年預算數為2000萬元,執行數為2541.6205萬元,完成預算的127.08%。項目績效目標完成情況:一是通過教育提質獎、高考質量獎和教學質量獎的設立,有效的激勵了教師團隊的積極性,切實推動全縣教育教學質量的整體提高;二是我縣生均教育技術裝備經費投入均達到全省生均平均水平。發現的問題及原因:一是我縣城鄉教育現代化發展水平仍然存在不平衡的問題。再加上鄉鎮學校教師資源持續流失,進一步加大了城鄉教育發展水平差距;二是義務教育資源配置有待優化。下一步改進措施:一是公平配置資源,促進義務教育優質均衡。積極落實《浙江省人民政府關于統籌推進縣域內城鄉義務教育一體化改革發展的實施意見》,繼續加快推進義務教育優質均衡發展;二是保障經費投入,留住并培養一流教師隊伍。
一、項目基本信息 | |||||||
項目負責人 | 王國飛 | 聯系電話 | 0******2 | ||||
地 ????址 | 慶元縣濛洲街道222號 | 郵編 | 323800 | ||||
項目起止時間 | 2022.01~2022.12 | ||||||
計劃安排資金(萬元) | 2000 | 實際到位資金(萬元) | 2542.1264 | ||||
其中:中央財政 | 其中:中央財政 | ||||||
省財政 | 省財政 | ||||||
市縣財政 | 2000 | 市縣財政 | 2542.1264 | ||||
其它 | 其它 | ||||||
實際支出(萬元) | 2541.6205 | ||||||
二、項目支出明細情況 | |||||||
支出內容 (經濟科目) | 計劃支出數(萬元) | 實際支出數(萬元) | |||||
教育提質專項獎勵資金 | 1000 | 1000 | |||||
高考質量獎 | 250 | 766.815 | |||||
義務教育階段質量獎 | 350 | 350 | |||||
教育裝備專項經費 | 400 | 424.8055 | |||||
支出合計 | 2000 | 2541.6205 | |||||
三、評價報告摘要 | |||||||
概況 | 教育提質及教育現代化縣創建專項經費年初預算2000萬元,含教育提質專項獎勵1000萬元、高考質量獎250萬元、義務教育階段質量獎350萬元、教育技術裝備經費400萬元 | ||||||
項目績效目標完成情況(包括產出指標和效益指標) | 預 ?期 | 實 ?際 | |||||
為加快推進我縣教育現代化縣創建工作發揮教育現代化縣創建專項經費的使用效益,進一步提高我縣教育教學質量,進一步提升我縣教育整體實力和發展水平, 不斷滿足經濟社會發展和人民群眾日益增長的優質教育需求。 | 通過設立教育提質及教育現代化縣創建專項經費,有利于改善我縣中小學校的辦學條件,有利于建立以提高教育質量為導向的管理制度和激勵機制,有利于鼓勵學校辦出特色、辦出水平,從而增加了我縣的教育實力,提高了教學質量,激發了教師的工作熱情,完善教育硬件設備,進一步的滿足了我們縣優質的教育需求。 | ||||||
評價結論 | 項目的實施在提升教育教學質量、改善城鄉教育技術裝備、提高教師隊伍素質、激發教師工作熱情等方面發揮了一定的作用,評價小組對照評價指標對該項目進行了打分,專家評議等方式評價組對本次“教育提質及教育現代化縣創建”專項項目綜合得分94.4分,評價結果為優 | ||||||
主要績效 情況 | 提升了全縣中小學教育技術裝備整體水平;激勵了教師團隊的積極性,切實推動全縣教育教學質量的整體提高 | ||||||
主要問題及原因分析 | 受區域經濟條件、自然環境和歷史文化等因素制約,我縣城鄉教育現代化發展水平仍然存在不平衡的問題城鄉教育發展水平差距較大;義務教育資源配置有待優化;教育裝備發展不均衡。 | ||||||
相關建議 | 公平配置資源,促進義務教育優質均衡;保障經費投入,留住并培養一流教師隊伍;加快城市化進程,持續投入教育資源 | ||||||
義務教育保障機制項目績效自評綜述:根據年初設定的績效目標,項目自評得分92分,自評結論為“優”。項目全年預算數為3102.46萬元,執行數為3083.7527萬元,完成預算的99.4%。項目績效目標完成情況:一是教育產出指標值符合年度預期,慶元縣教育局根據浙政發[2016]16號文件落實完善城鄉義務教育“兩免一補”、鞏固完善義務教育學校校舍安全保障長效機制等保障機制,統籌城鄉義務教育均衡發展。2022年免費教科書發入覆蓋率、家庭經濟生活補助受益率達、義務教育標準化學校、營養改善計劃食品安全達標率等比例均達到100%。鄉村教師隊伍素質明顯挺高。;二是教育辦學條件有較大改善,普教室智能化改造和新型教學空間建設、空間互聯建設、普通教室智能燈光改造等項目按時完成。江濱小學食堂和圖書館、慶元三中操場改造升級等工程,建成投用;實驗小學分校區完成主體建設,進行室內裝修和室外附屬工程施工。發現的問題及原因:一是項目從年初預算金額與實際執行金額來看,改善基礎教育辦學條件一般性轉移支付資金項目執行進度偏慢;二是家庭經濟困難學生比較難界定,除了“五類生”和“低邊”學生,因其它原因造成的家庭經濟困難學生界定比較困難。下一步改進措施:一是建議不斷完善義務教育保障機制,加強預算管理,并根據實際執行數調整年初預算數,通過預算管理監督提高預算資金使用效率。加強對農村中小學的財務管理,強化監督檢查,切實提高資金使用效益;二是加強與縣財政局、縣民政局、縣扶貧辦、縣殘聯、關工委、團縣委、慈善總會等相關部門溝通聯系,整合資源,努力實現相關信息共享,更準確地界定家庭經濟困難學生,從而達到應助盡助、精準資助。
一、項目基本信息 | |||||||
項目負責人 | 王國飛 | 聯系電話 | 0******2 | ||||
地 ????址 | 慶元縣濛洲街道222號 | 郵編 | 323800 | ||||
項目起止時間 | 2022.01~2022.12 | ||||||
計劃安排資金(萬元) | 3102.46 | 實際到位資金(萬元) | 3127.46 | ||||
其中:中央財政 | 其中:中央財政 | ||||||
省財政 | 2283.455 | 省財政 | 2364.222 | ||||
市縣財政 | 819.005 | 市縣財政 | 763.238 | ||||
其它 | 其它 | ||||||
實際支出(萬元) | 3083.7527 | ||||||
二、項目支出明細情況 | |||||||
支出內容 (經濟科目) | 計劃支出數 | 實際支出數 | |||||
省補義務教育經費保障機制補助經費(免費教科書) | 529.255 | 560.0222 | |||||
省補省教育發展專項資金(免費教科書) | 50 | ||||||
義務教育學生免課本費 | 300.745 | 208.7459 | |||||
省補義務教育經費保障機制補助經費(校舍安全保障) | 433.2 | 433.2 | |||||
省補改善基礎教育辦學條件一般性轉移支付資金 | 1271 | 1267.8891 | |||||
營養餐 | 300 | 313.63 | |||||
教師培訓費 | 268.26 | 250.2654 | |||||
支出合計 | 3102.46 | 3083.7527 | |||||
三、評價報告摘要 | |||||||
概況 | 義務教育保障機制,主要內容是統一城鄉義務教育“兩免一補”政策;統一城鄉義務教育學校生均公用經費基準定額;鞏固完善義務教育學校校舍安全保障長效機制;鞏固落實城鄉義務教育教師工資政策。 | ||||||
項目績效目標完成情況(包括產出指標和效益指標) | 預 ?期 | 實 ?際 | |||||
進一步完善義務教育保障機制,公辦學校安排外來務工人員子女隨遷入學;鄉村教師隊伍素質明顯提高;免費教科書發入覆蓋率、家庭經濟生活補助受益率、營養改善計劃食品安全達標率均達100%。 | 公辦學校安排外來務工人員子女隨遷入學,入學率100%;教師培訓經費有保障,教師隊伍素質明顯提高;免費教科書發入覆蓋率、家庭經濟生活補助受益率、營養改善計劃食品安全達標率均達100%。 | ||||||
評價結論 | 通過本項目實施,我縣教育得到全面發展,教育質量得到新提升,促進了全縣教育事業均衡發展,加強了師資隊伍的建設,改善了學校師生的校園環境,提高了校園的安全保障,評審組認為,該項目實施可行有效 | ||||||
主要績效 情況 | 教育辦學條件有較大改善,教育產出指標值符合年度預期,2022年免費教科書發入覆蓋率、家庭經濟生活補助受益率達、義務教育標準化學校、營養改善計劃食品安全達標率等比例均達到100%。教師隊伍建設得到新提升,獲評特級教師(含正高級教師)1人,入選2022年鄉村優秀青年教師培養獎勵計劃1人、2022年浙派名師名校長培養對象4人,新增市級骨干教師439人 | ||||||
主要問題及原因分析 | 個別項目執行進度偏慢 | ||||||
相關建議 | 不斷完善義務教育保障機制,加強預算管理,加強對農村中小學的財務管理,強化監督檢查,切實提高資金使用效益. | ||||||
3.財政評價項目績效評價結果。財政對本部門的“慶元縣2019-2021學年教育提質專項獎勵資金”項目進行評價,從評價情況來看,綜合評定為優。具體評價情況如下:
“慶元縣2019-2022年教育提質專項獎勵資金”項目綜合評價得分為91.61 分,綜合評定為“優”。慶元縣實現“麗水市智慧校園”創建100%達標;2023年7月通過省級“雙普”評估。2019-2022 學年,定向培養教師23名,獲評省特級教師1人、省教壇新秀4人、市教學名家2人、市教學名師16人、市學科(德育)學科帶頭人77人、市教學(德育)能手112人、市教壇(德育)新秀473人、市教壇(德育)新苗320人。學生體質健康總達標率分別為 96.66%、96.53%、97.77%,優良率分別為54.6%、S5.06%、57.86%,連續三年總達標率在95%以上,優良率“三連增”。在2020-2022 年期間累計投資1350萬元采購全縣公辦學校信息化裝備設備,升級校園網絡環境,實現校園網絡全覆蓋;建設“新型教學空間”,完成全縣中小學錄播教室全覆蓋,創新實驗室和新型學科教室等覆蓋率達 87.5%以上;2020年至2022年10月期間,開設網絡同步課堂 1645節、網絡研修 533次,制造中小學段微課350節以上,利用“之江匯教育廣場”開展中小學學科資源建設,優選課件、課例、教案等資源 650個以上。
4.部門評價項目績效評價結果。根據相關文件要求及教育局年初設立的“績效目標表”中相 關的指標要求,評價小組對慶元縣“教育現代化縣創建專項經費”項目實 施效果進行了評價。在評價過程中,我們認為該項目績效目標方 向明確、合理可行,組織機構健全、分工明確,決策程序規范、 透明,資金管理、費用支出等制度健全,會計核算規范,資金到位率達 100%,已基本使用到位,在提升教育教學質量、改善城 鄉教育技術裝備、提高教師隊伍素質、激發教師工作熱情等方面 發揮了一定的作用,專家評議等方式評價組對本次“教育現代化縣創建專項經費”等5個專項項目評價維度綜合為優。
說明:部門評價項目是指本部門自行開展的評價對象為本部門政策、項目、整體支出或下屬單位整體支出,并單獨出具評價報告的績效評價項目;財政評價項目是指由財政部門開展的評價對象為預算部門政策、項目或整體支出,并單獨出具評價報告的績效評價項目。
四、名詞解釋
1.財政撥款收入:指本級財政部門當年撥付的財政預算資金,包括一般公共預算財政撥款、政府性基金預算財政撥款和國有資本經營預算財政撥款。
2.事業收入:指事業單位開展專業業務活動及輔助活動所取得的收入。
3.經營收入:指事業單位在專業業務活動及輔助活動之外開展非獨立核算經營活動取得的收入。
4.上級補助收入:指事業單位從主管部門和上級單位取得的非財政補助收入。
5.附屬單位上繳收入:指事業單位附屬獨立核算單位按照有關規定上繳的收入。
6.其他收入:指預算單位在“財政撥款”、“事業收入”、“經營收入”、“上級補助收入”、“附屬單位上繳收入”等之外取得的各項收入。
7.使用非財政撥款結余:指事業單位使用以前年度積累的非財政撥款結余彌補當年收支差額的金額。
8.年初結轉和結余:指預算單位以前年度尚未完成、結轉到本年仍按原規定用途繼續使用的資金。
9.年末結轉和結余:指單位按有關規定結轉到下年或以后年度繼續使用的資金。
10.基本支出:指預算單位為保障其正常運轉,完成日常工作任務所發生的支出,包括人員經費支出和日常公用經費支出。
11.項目支出:指預算單位為完成其特定的行政工作任務或事業發展目標所發生的支出。
12.上繳上級支出:填列事業單位按照財政部門和主管部門的規定上繳上級單位的支出。
13.經營支出:指事業單位在專業業務活動及其輔助活動之外開展非獨立核算經營活動發生的支出。
14.附屬單位補助支出:填列事業單位用財政補助收入之外的收入對附屬單位補助發生的支出。
15.“三公”經費:納入財政預決算管理的“三公”經費,是指部門用財政撥款安排的因公出國(境)費用、公務用車購置及運行費和公務接待費。其中,因公出國(境)費用反映單位公務出國(境)的國際旅費、國外城市間交通費、住宿費、伙食費、培訓費、公雜費等支出,不含教學科研人員學術交流;公務用車購置及運行費反映單位公務用車車輛購置支出(含車輛購置稅)及燃費、維修費、過橋過路費、保險費等支出;公務接待費反映單位按規定開支的各類公務接待(含外賓接待)支出。
16.機關運行經費:指為保障行政單位(含參照公務員法管理的事業單位)運行用于購買貨物和服務的各項資金,包括辦公及印刷費、郵電費、差旅費、會議費、福利費、日常維修費、專用材料及一般設備購置費、辦公用房水電費、辦公用房取暖費、辦公用房物業管理費、公務用車運行維護費以及其他費用。
17.一般公共服務支出(類)其他一般公共服務支出(款)其他一般公共服務支出(項)反映除國家賠償方面等項目以外的其他一般公共服務支出。
18.教育支出(類)教育管理事務(款)行政運行(項)是反映行政單位(包括實行公務員管理的事業單位)的基本支出。???19. 教育支出(類)教育管理事務(款)其他教育管理事務支出(項)反映用于其他教育管理工作事務方面的支出。
20.教育支出(類)普通教育(款)學前教育(項)是反映各部門舉辦的學前教育支出。
21.教育支出(類)普通教育(款)小學教育(項)是反映各部門舉辦的小學教育支出。政府各部門對社會中介組織等舉辦的小學的資助,如各類捐贈、補貼等,也在本科目中反映。
22.教育支出(類)普通教育(款)初中教育(項)是反映各部門舉辦的初中教育支出。政府各部門對社會中介組織等舉辦的初中教育的資助,如捐贈、補貼等,也在本科目中反映。
23.教育支出(類)普通教育(款)高中教育(項)是反映各部門舉辦的高中教育支出。政府各部門對社會中介組織等舉辦的高中的資助,如各類捐贈、補貼等,也在本科目中反映。
24.教育支出(類)普通教育(款)其他普通教育支出(項)是反映除上述項目以外其他用于普通教育方面的支出。
25.教育支出(類)成人教育(款)其他成人中等教育(項)反映除上述項目以外其他用于成人教育方面的支出。
26.教育支出(類)特殊教育(款)特殊學校教育(項)反映各部門舉辦盲童學校、聾啞學校、智力落后兒童學校、其他生
27.教育支出(類)教育費附加安排的支出(款)其他教育費附加安排的支出(項)反映除農村、城市校舍建設、教學設施等項目以外的教育費附加的支出。
28.教育支出(類)普通教育(款)中等職業教育(項)是反映各部門(不含人力資源社會保障部門)舉辦的中等職業教育支出。
29.教育支出(類)進修及培訓(款)教師進修(項):指本單位人員與公用經費支出。
30.住房保障支出(類)住房改革支出(款)住房公積金(項):指公積金支出。
五、附件

附件:1.
2022年教育決算公開文檔.zip










